Pongrácz-Devcsics János
Renigem® Fényanalitikai Műhely, Magyarország
1. Bevezetés
A drágakövek színének értelmezése alapvetően fizikai jelenség (Nassau, K. (1983 vagy 2001; Fritsch, E. & Rossman, G. R. (1987)): a kőben jelenlévő elemek és a kristályszerkezeti sajátosságok meghatározzák, hogy a beérkező fény különböző hullámhosszait milyen mértékben nyeli el az anyag. Ennek ellenére a gyakorlatban a szín és annak irányfüggése, különösen tekintettel a pleokroizmusra, ma is túlnyomórészt vizuális megfigyelésen alapuló, leíró jellegű módon kerül értelmezésre.

A pleokroizmus jelensége (Fritsch, E. & Rossman, G. R. (1987)), vagyis az, hogy egy anizotróp kristály különböző irányokban eltérő színt mutat, jól ismert a gemmológiában. A vizsgálata azonban tipikusan dichroszkópos megfigyelésekre vagy szubjektív színleírásokra korlátozódik. Ezek a módszerek ugyan alkalmasak a jelenség felismerésére, de nem teszik lehetővé annak kvantitatív, spektrális alapú jellemzését, és nem biztosítanak reprodukálható, összehasonlítható adatokat. A probléma nem az, hogy a pleokroizmus nem ismert jelenség, hanem az, hogy nincs egységes, mérhető definíciója annak, hogy egy anyag „mennyire pleokromos”. Ez különösen akkor válik fontossá, amikor a szín eredetének mélyebb megértése, az anyagazonosítás, vagy akár a csiszolási orientáció optimalizálása a cél.
A jelen értekezés célja ezért egy olyan spektroszkópiai alapú, reprodukálható mérési és kiértékelési módszer kidolgozása, amely lehetővé teszi a pleokroizmus kvantitatív leírását a polarizációfüggő abszorpciós viselkedésen keresztül.
A módszer kidolgozásához nem közvetlenül fazettált drágakövet alkalmaztunk, hanem egy kontrollált modellrendszert. Ennek oka, hogy a csiszolt kövekben a mért spektrumot jelentősen befolyásolják olyan tényezők, mint a többszörös belső reflexió, a változó optikai úthossz, valamint a felületi geometriából adódó iránykeveredés. Ezek a hatások elfedik az anyag valódi, kristálytani eredetű optikai anizotrópiáját.

- fotó F22 4sec két polarizátor között.
A jelenség tiszta vizsgálatához ezért egy polírozott felületekkel rendelkező, közel izometrikus geometriájú szintetikus rubin kockát választottunk.
A szintetikus korund előnye, hogy:
- optikai tulajdonságai jól ismertek,
- színező komponense (Cr³⁺) spektrálisan jól definiált abszorpciós sávokat hoz létre,
- kristályszerkezete anizotróp,
- és a geometria pontosan kontrollálható.
Ez a modellrendszer lehetővé teszi, hogy a mért spektrális különbségeket egyértelműen az anyag intrinzikus optikai anizotrópiájához kössük, és elkülönítsük azokat a geometriai és optikai műtermékektől.
A vizsgálat során polarizált fényben mértük a minta transzmittancia- és abszorbancia-spektrumait különböző orientációkban, és a kapott adatokból olyan paramétereket vezettünk be, amelyek alkalmasak a pleokroizmus mértékének számszerű jellemzésére. Ilyen például a hullámhosszfüggő abszorbancia-különbség, valamint a polarizációfüggő intenzitásarány.A bemutatott megközelítés nem egy konkrét drágakő leírására törekszik, hanem egy olyan általános módszertani keret kialakítására, amely később alkalmazható természetes és csiszolt gemmológiai minták vizsgálatára is.
Végső soron ez a munka arra tesz kísérletet, hogy a pleokroizmust a hagyományos, vizuális jelenségszintű megközelítésből kiemelve spektrálisan definiált, kvantitatív anyagtulajdonságként írja le. Ez pedig nemcsak a jelenség mélyebb fizikai megértését segíti elő, hanem alapot teremthet a jövőben olyan objektív összehasonlításokra és alkalmazásokra is, amelyek túlmutatnak a jelenlegi gemmológiai gyakorlaton.
Ez a megközelítés lehetőséget teremt arra, hogy a pleokroizmus ne csupán kvalitatív jelenségként, hanem spektrálisan definiált, kvantitatív anyagtulajdonságként jelenjen meg.
2. Anyag és módszer
2.1 Minta
A vizsgálatokhoz egy szintetikus rubin (Cr³⁺-szennyezett korund, Al₂O₃) mintát alkalmaztunk, amely közel izometrikus geometriájú, polírozott lapokkal rendelkező kocka volt. A minta méretei: 10,45 × 10,55 × 10,49 mm. A polírozott, sík felületek biztosították a jól definiált optikai belépési és kilépési határfelületeket, minimalizálva a felületi szórásból adódó veszteségeket. A közel azonos élhossz lehetővé tette az optikai úthossz reprodukálható kontrollját különböző mérési orientációkban. A minta kristálytani orientációja nem volt előzetesen meghatározva; a mérések során a geometriai tengelyek mentén definiált orientációkat alkalmaztunk. (Dubinsky, E. V. et al. (2020))
![]() | ![]() | ![]() |
![]() | ![]() | ![]() |
A mintáról készült dokumentációs felvételek felső diffúz ( felsősor) megvilágításban, illetve alsó átvilágítás( alsósor) mellett készültek. Az alsó átvilágítás kizárólag a minta vizuális szemléltetését szolgálta, és nem azonos a spektroszkópiai mérések során alkalmazott fényforrással.
A mintáról készült fotódokumentáció részben átmenő megvilágításban készült, a geometria és a belső intenzitáseloszlás szemléltetése céljából. Ez a megvilágítási konfiguráció kizárólag illusztratív célokat szolgált, és nem része a spektroszkópiai mérőrendszernek.
2.2 Optikai elrendezés
A mérések egy saját fejlesztésű UV–Vis spektroszkópiai rendszerben (Shiyun Jin, Nathan D. Renfro, Aaron C. Palke, TroyArdon and Aritaya Homkrajae 2004.) történtek, az alábbi átmenő fényes elrendezésben:
fényforrás → kollimáló optika → cirkuláris polarizátor → minta → kollimátor → optikai szál → spektrométer
A fényforrás széles spektrumú, látható tartományban folytonos emissziójú halogén lámpa volt, amely a mintát alulról világította meg. A fényt lencsével kollimáltuk, biztosítva a közel párhuzamos nyalábot a mintára merőleges irányban.
A cirkuláris polarizátor a fényútban a minta előtt került elhelyezésre, és forgatható volt a terjedési irányra merőleges síkban, lehetővé téve a polarizáció irányának pontos beállítását.
Bár a méréshez cirkuláris polarizátorként jelölt optikai szűrőt alkalmaztunk, a mérési konfigurációban – analizátor hiányában – a rendszer a minta szempontjából effektíve lineárisan polarizált fényként viselkedett.
A mintán áthaladó fényt a minta fölött elhelyezett kollimátor gyűjtötte össze, amely optikai szálon keresztül csatlakozott a spektrométerhez. Ez az elrendezés biztosította, hogy a detektált jel elsősorban az áthaladó (transzmittált) fényből származzon.

2.3 Mérési eljárás
A mérések során minden mérési sorozatot referencia spektrum rögzítésével kezdtünk, amelyet a minta eltávolításával, az optikai rendszer változatlan beállítása mellett vettünk fel. A referencia felvétel sötétjel (dark) levonása nélkül történt, mivel a teljes mérési sorozat során azonos detektálási paramétereket alkalmaztunk.
Ezt követően a minta spektrumát rögzítettük, változatlan expozíciós idő és mérési beállítások mellett, biztosítva az összehasonlíthatóságot a referencia spektrummal.
A méréseket a kocka három, egymásra merőleges oldalán végeztük el. Az egyes mérési sorozatok során mindig egy adott oldalt vizsgáltunk, miközben a minta orientációja rögzített maradt, és kizárólag a polarizátor szöghelyzetét változtattuk.
A három vizsgált oldal megfelelt a mintáról készült fotódokumentáció felső sorában bemutatott első, második és harmadik felületnek, így az egyes spektrumok egyértelműen hozzárendelhetők a dokumentált geometriai orientációkhoz.
Az optikai elrendezést minden esetben úgy állítottuk be, hogy a fény útja a mintán belül homogén, zárványmentes tartományon haladjon keresztül. Külön figyelmet fordítottunk arra, hogy a fotódokumentáción is látható belső szerkezeti hibák ne essenek a mérési térfogatba, ezáltal minimalizálva a szórásból és lokális inhomogenitásokból eredő torzításokat.
Minden vizsgált oldalon két jellegzetes polarizációs állapotot definiáltunk:
- 0° orientáció: a polarizátor azon állása, amely mellett a detektált intenzitás minimumot (azaz az abszorbancia maximumát) mutatta. Ezt az állást kísérletileg határoztuk meg a polarizátor folyamatos forgatásával.
- 90° orientáció: a 0° álláshoz képest 90°-kal elforgatott polarizációs irány, amely az előzőhöz képest ortogonális állapotot reprezentál.
Mindkét orientációban külön spektrumot rögzítettünk azonos mérési feltételek mellett.
Az egyes spektrumok közvetlen mérési eredményeit, azonban a jel–zaj arány javítása érdekében a detektor által rögzített jeleket mérés közben átlagoltuk. Minden spektrum esetében 10 egymást követő mérés átlagát alkalmaztuk.
A spektrális zaj további csökkentése érdekében az adatokon minimális mértékű boxcar simítást (1 pixel), valamint Savitzky–Golay szűrést (7 pontos ablak, 2. rendű polinom) alkalmaztunk. Ezek az eljárások a véletlen zaj csökkentését szolgálták, miközben a spektrális sávok helyzete és alakja érdemben nem változott.
Az adatfeldolgozás során nem alkalmaztunk olyan további simítási vagy szűrési eljárást, amely a spektrális jelalak torzulását okozhatta volna.
A polarizációs állapotok definiálása nem abszolút kristálytani tengelyekhez, hanem a minta optikai válaszának szélsőértékeihez (minimum–maximum intenzitás) történt. Ez a megközelítés lehetővé teszi az optikai anizotrópia közvetlen, mérésalapú azonosítását előzetes kristálytani orientáció ismerete nélkül.
Ez a mérési megközelítés biztosítja, hogy a mért spektrális különbségek elsődlegesen a kristályszerkezeti eredetű optikai anizotrópiából származzanak, és ne lokális anyaghibákból.
A mérési reprodukálhatóság ellenőrzésére kiválasztott orientációkban több egymást követő spektrumot rögzítettünk azonos beállítások mellett. A görbék egymással jó egyezést mutattak, a relatív abszorbancia eltérése a vizsgált tartományban kismértékű volt.
2.4 Adatfeldolgozás
A spektrális adatokat a mérőrendszer szoftvere közvetlenül relatív abszorbancia formátumban rögzítette, amely a referencia és a minta intenzitásának hányadosán alapuló logaritmikus ábrázolásnak felel meg.
A bemutatott abszorbancia értékek relatív jellegűek, mivel a mérési konfiguráció nem teszi lehetővé az abszolút optikai úthossz pontos meghatározását. Ennek megfelelően az eredmények elsősorban összehasonlító jelleggel értelmezhetők.
A mérések során a referencia és a minta spektrumok azonos expozíciós idő és detektálási paraméterek mellett kerültek rögzítésre, így a kapott abszorbancia adatok közvetlenül összehasonlíthatók voltak.
A jel–zaj arány javítása érdekében minden spektrum esetében 10 egymást követő mérés átlagát alkalmaztuk. Az így kapott adatokon további, minimális mértékű simítást végeztünk boxcar (1 pixel), valamint Savitzky–Golay szűrő (7 pontos ablak, 2. rendű polinom) alkalmazásával. A simítás célja kizárólag a véletlen zaj csökkentése volt, miközben a spektrális sávok helyzete és alakja érdemben nem változott.
Az alkalmazott simítási eljárások (boxcar, Savitzky–Golay) hatását ellenőriztük, és megállapítottuk, hogy azok a spektrális sávok helyzetét és alakját érdemben nem befolyásolták, kizárólag a véletlen zaj csökkentését szolgálták.
A különböző polarizációs állapotok összehasonlításához differencia spektrumokat (ΔA) számoltunk, amelyek az egymásnak megfelelő orientációkhoz tartozó abszorbancia görbék különbségeként adódtak:
ΔA = A(0°) − A(90°)
P₁ = max |ΔA(λ)|
A pleokroizmus mértékének jellemzésére a különbségi spektrum abszolút maximumát alkalmaztuk:
P₁ = max |ΔA(λ)|
Ez a paraméter a legnagyobb polarizációfüggő abszorbancia-különbséget reprezentálja a vizsgált hullámhossztartományban.
Ez a megközelítés lehetővé teszi a polarizációfüggő abszorpciós különbségek kiemelését, és az optikai anizotrópia egyértelműbb vizsgálatát.
Az adatok vizualizációja során minden spektrumot azonos skálázással ábrázoltunk, biztosítva az egyes görbék közvetlen összehasonlíthatóságát.
A különbségi spektrumok értelmezése során figyelembe vettük a mérési zaj szintjét. Azok a hullámhossztartományok, ahol a ΔA érték a zajszinttel összemérhető volt, nem kerültek értelmezésre.
2.5 Megjegyzések a módszer korlátairól
A bemutatott módszer célja a polarizációfüggő spektrális viselkedés kvantitatív jellemzése kontrollált geometriai körülmények között.
A mérések során a minta kristálytani orientációja nem került explicit meghatározásra, ezért az eredmények nem abszolút kristálytani tengelyekhez, hanem a mérési geometria által definiált irányokhoz kötötten értelmezhetők. Ez a megközelítés lehetővé teszi az optikai anizotrópia kísérleti alapú vizsgálatát előzetes kristálytani ismeretek nélkül.
A spektrális kiértékelés során azokat a hullámhossztartományokat, ahol a detektor telítődése, illetve a jel–zaj arány jelentős romlása volt megfigyelhető, kizártuk az analízisből annak érdekében, hogy az értelmezés kizárólag megbízható adatokon alapuljon.
A módszer jelen formájában kontrollált modellrendszerre optimalizált. Fazettált drágakövek esetében a fény útját befolyásoló további optikai jelenségek — különösen a többszörös belső visszaverődés, a törés és a geometriai orientáció — figyelembevételére van szükség.
A mérések értelmezése során figyelembe vettük a spektrométer spektrális felbontásából és dinamikatartományából adódó korlátokat. A telítődési tartományba eső adatokat kizártuk az analízisből.
A relatív abszorbancia értelmezése és korlátai
A mérések során alkalmazott abszorbancia értékek relatív jellegűek, mivel a mérési konfiguráció nem teszi lehetővé az optikai úthossz pontos meghatározását. Ennek megfelelően a kapott spektrumok nem abszolút abszorbancia értékeket reprezentálnak, hanem a referencia és a minta közötti relatív intenzitásviszonyokon alapulnak.
Ez különösen fontos fazettált vagy nem ideális geometriájú minták esetében, ahol a fény útja a mintán belül nem egyértelműen definiálható, és a többszörös belső reflexiók, valamint a geometriai hatások jelentős szerepet játszanak.
A jelen vizsgálat célja nem az abszolút abszorpciós együtthatók meghatározása, hanem a polarizációfüggő abszorpciós különbségek összehasonlító jellegű vizsgálata. Ebben a kontextusban a relatív abszorbancia megfelelő és elegendő eszköz a jelenség kvantitatív jellemzésére.
Ennek megfelelően az eredmények elsősorban összehasonlító jelleggel értelmezhetők, különösen az egyes orientációk és polarizációs állapotok közötti különbségek tekintetében.
3. Eredmények és értelmezés

1. ábra. A vizsgált szintetikus korund minta (kocka) 1. mérési orientációja. A fény útját úgy választottuk meg, hogy az a mintán belül homogén, zárványmentes tartományon haladjon keresztül, elkerülve a képen látható belső szerkezeti inhomogenitásokat.
Az 1. mérési orientációhoz tartozó spektrumok ugyanazon geometriai elrendezés mellett kerültek rögzítésre, mint amely a 1. ábrán látható. A megvilágítás alulról történt, míg a detektálás a minta felső felületéről, kollimátoron keresztül valósult meg. A két görbe a polarizátor 0° és 90° állásának felel meg.

2. ábra. Relatív abszorbancia spektrumok az 1. mérési orientációban, azonos optikai geometriában (alsó megvilágítás, felső detektálás). A görbék a polarizátor két ortogonális állásához (0° és 90°) tartoznak. A spektrumok közötti eltérések különösen a 460–500 nm tartományban, valamint az abszorpciós él környezetében figyelhetők meg, ami a polarizációfüggő abszorpció egyértelmű jelenlétére utal.
A 2. mérési orientációban a mintát a korábbihoz képest eltérő geometriai helyzetben vizsgáltuk, miközben a mérési elrendezés egyéb paraméterei változatlanok maradtak. A vizsgált felületet a 3. ábra szemlélteti.

3. ábra. A vizsgált szintetikus korund minta 2. mérési orientációja. A fény útját ebben az esetben is úgy választottuk meg, hogy az a mintán belül homogén tartományon haladjon keresztül, elkerülve a látható belső szerkezeti inhomogenitásokat.

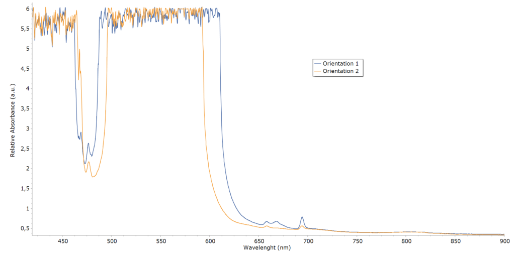
4. ábra. A 2. mérési orientációhoz tartozó relatív abszorbancia spektrumok két merőleges polarizációs állapotban (0° és 90°). A mérési geometria megegyezik az 1. orientációnál alkalmazott elrendezéssel.
A két spektrum között jól megfigyelhető különbség az abszorpciós minimumok mélységében, valamint az abszorpciós él pozíciójában (~585–592 nm tartomány), ami a polarizációfüggő abszorpciós viselkedés jelenlétére utal.

5. ábra. A vizsgált szintetikus korund minta 3. mérési orientációja.
A fény útját ebben az esetben is úgy választottuk meg, hogy az a mintán belül homogén, zárványmentes tartományon haladjon keresztül, elkerülve a képen látható belső szerkezeti inhomogenitásokat.

6. ábra. A 3. mérési orientációhoz tartozó relatív abszorbancia spektrumok két merőleges polarizációs állapotban (0° és 90°). A mérési geometria megegyezik az előző orientációk esetében alkalmazott elrendezéssel (alsó megvilágítás, felső detektálás).
A két spektrum között csak minimális eltérés figyelhető meg, ami arra utal, hogy ebben az orientációban a polarizációfüggő abszorpció jelentősen gyengébb. A spektrumok közel fedésben vannak, ami arra utal, hogy ebben az orientációban a vizsgált optikai tengely mentén az abszorpció polarizációfüggése minimális.

7. ábra. A három vizsgált orientációhoz tartozó különbségi spektrumok (ΔA), ahol ΔA = A(0°) – A(90°).
A görbék a polarizációfüggő abszorpció mértékét szemléltetik a teljes vizsgált hullámhossztartományban.
A különbségi spektrumok egyértelműen mutatják, hogy a polarizáció hatása erősen orientációfüggő.
- Az 1. és 2. orientáció esetében jelentős ΔA amplitúdó figyelhető meg, különösen a ~460–500 nm és ~580–610 nm tartományokban.
- A 3. orientáció esetében a ΔA értéke közel zérus, ami a polarizációfüggő abszorpció hiányára vagy minimális mértékére utal.
Ez a viselkedés közvetlen bizonyítéka az anyag optikai anizotrópiájának, valamint annak, hogy az abszorpciós folyamatok erősen függnek a kristálytani iránytól.
A ΔA spektrumok közvetlenül az irányfüggő abszorpciós különbséget reprezentálják, így alkalmasak a pleokroizmus mértékének spektrális jellemzésére.
A megfigyelt spektrális különbségek fizikai értelmezése a korund kristályszerkezetének optikai anizotrópiájához és a Cr³⁺ ionok által létrehozott abszorpciós sávokhoz köthető.
A rubin színét meghatározó Cr³⁺ ionok a látható tartományban jól definiált abszorpciós sávokat hoznak létre, amelyek intenzitása függ a beeső fény polarizációs irányától. Ez annak következménye, hogy az elektronátmenetekhez tartozó dipólusmomentumok a kristályrács adott irányaihoz kötöttek.
Ennek megfelelően a különböző polarizációs állapotokban mért eltérések – különösen a ~460–500 nm, illetve ~580–610 nm tartományokban – a Cr³⁺ ionokhoz köthető, irányfüggő abszorpciós folyamatok következményei.
A jelenség közvetlen megnyilvánulása az optikai anizotrópia, amely a pleokroizmus fizikai alapját képezi.
4. Összegzés
A vizsgálatok eredményei egyértelműen igazolják, hogy a szintetikus korund minta optikai abszorpciója erősen függ a polarizáció irányától, valamint a minta orientációjától. A különböző orientációkban végzett mérések során jelentős eltérések mutatkoztak a spektrumok között, ami az anyag optikai anizotrópiájának közvetlen következménye.
Az első és második orientáció esetében a polarizációs állapot változtatása jelentős spektrális különbségeket eredményezett. Ezek az eltérések különösen a látható tartomány bizonyos részein (pl. ~460–500 nm, illetve ~580–610 nm) jelentkeznek, ami arra utal, hogy az adott hullámhossztartományokban az abszorpciós folyamatok erősen irányfüggőek.
Ezzel szemben a harmadik orientáció esetében a két merőleges polarizációhoz tartozó spektrumok közel fedésben vannak, és a különbségi spektrum (ΔA) amplitúdója minimális. Ez arra utal, hogy ebben az orientációban a vizsgált optikai tengely mentén az abszorpció polarizációfüggése elhanyagolható, vagy a mérési konfiguráció szempontjából effektíve izotróp viselkedés figyelhető meg.
A különbségi spektrumok alkalmazása lehetővé tette a polarizációfüggő abszorpció kvantitatív jellemzését. A ΔA görbék nemcsak a különbségek meglétét mutatják, hanem azok hullámhosszfüggését is, így pontosabb képet adnak az egyes abszorpciós sávok viselkedéséről. Ez különösen fontos olyan rendszerekben, ahol a klasszikus, vizuális megfigyelés (pl. pleokroizmus) nem elegendő a finom különbségek feltárására.
Fontos megjegyezni, hogy a mérések során alkalmazott relatív abszorbancia, valamint a referencia és minta eltérő mérési sajátosságai miatt az eredmények elsősorban összehasonlító jellegűek. Ennek ellenére a módszer jól alkalmas az irányfüggő optikai jelenségek kimutatására és vizsgálatára.
A bemutatott mérési elrendezés – amely polarizátor alkalmazásán, kontrollált geometriai feltételeken és spektrális kiértékelésen alapul – egyszerűen megvalósítható, ugyanakkor hatékony eszközt biztosít a kristályos anyagok optikai anizotrópiájának vizsgálatához. A módszer különösen ígéretes lehet gemológiai alkalmazásokban, ahol a drágakövek optikai tulajdonságainak pontosabb, műszeres alapú jellemzése egyre nagyobb jelentőséggel bír.
A megfigyelt különbségek kizárólag lineárisan polarizált fény esetén értelmezhetők, ami megerősíti, hogy a mérési konfigurációban a polarizáció effektíve lineáris karakterű volt.
A módszer lehetőséget teremt arra, hogy a pleokroizmus jelensége ne csupán vizuális megfigyelésen alapuljon, hanem spektrális alapon, kvantitatív módon is leírhatóvá váljon.
Gyakorlati jelentőség
A bemutatott eredmények túlmutatnak a jelenség puszta kimutatásán, és lehetőséget teremtenek annak kvantitatív értelmezésére. A polarizációfüggő spektroszkópia alkalmazása alkalmas lehet a kristálytani orientáció indirekt vizsgálatára, különösen olyan esetekben, ahol a hagyományos módszerek korlátozottan alkalmazhatók.
A módszer hozzájárulhat ahhoz, hogy a pleokroizmus a jövőben ne kizárólag vizuális megfigyelésen alapuljon, hanem spektrális, mérhető paraméterekkel is jellemezhető legyen.
Az eredmények arra utalnak, hogy a polarizációfüggő abszorpciós viselkedés közvetlen hatással lehet a drágakövek megjelenő színére, különösen eltérő orientációk esetén. Ez a megközelítés hosszabb távon alkalmazható lehet csiszolt drágakövek optikai viselkedésének értelmezésében is.
A bemutatott modellrendszer alapot biztosít további vizsgálatokhoz, amelyek célja annak feltárása, hogy az ismert optikai jelenségek miként jelennek meg valós, komplex geometriájú drágakövekben.
5. Következtetések
A bemutatott vizsgálatok igazolják, hogy a polarizációfüggő UV–VIS spektroszkópia alkalmas a kristályos anyagok optikai anizotrópiájának kimutatására és jellemzésére. A szintetikus korund mintán végzett mérések során egyértelműen kimutatható volt, hogy az abszorpciós spektrum jelentősen függ a polarizáció irányától és a minta orientációjától.
A különbségi spektrumok (ΔA) alkalmazása lehetővé tette az orientációfüggő abszorpció kvantitatív értelmezését. Az egyes orientációk között megfigyelt eltérések rámutatnak arra, hogy az optikai válasz nem homogén, hanem kristálytani irányokhoz kötött.
A módszer előnye, hogy viszonylag egyszerű mérési elrendezéssel, reprodukálható módon képes feltárni azokat a finom különbségeket, amelyek hagyományos vizuális megfigyeléssel nem, vagy csak korlátozottan érzékelhetők.
Eredményeink alapján a polarizációfüggő spektroszkópia ígéretes eszköz lehet a gemmológiai gyakorlatban, különösen a pleokroizmus spektrális alapú vizsgálatában. A bemutatott megközelítés megfelelő alapot biztosít további kutatásokhoz, különösen fazettált drágakövek komplexebb optikai viselkedésének elemzéséhez.
A módszer kiterjesztése valós drágakövekre
A bemutatott vizsgálat kontrollált geometriai modellrendszerben történt, amely lehetővé tette az optikai anizotrópia tiszta, spektrális alapú vizsgálatát. Ugyanakkor a gemmológiai gyakorlatban vizsgált minták többsége nem ideális geometriájú, hanem fazettált vagy szabálytalan alakú drágakő, ahol a fény útját komplex optikai jelenségek befolyásolják.
Ilyen esetekben a többszörös belső reflexiók, a változó optikai úthossz és a felületi orientációk keveredése jelentősen módosíthatják a detektált spektrumot, és elfedhetik az anyag intrinzikus optikai tulajdonságait.
A jelen munka eredményei azonban alapot biztosítanak ezen komplex rendszerek értelmezéséhez, mivel a kontrollált körülmények között meghatározott polarizációfüggő spektrális viselkedés referenciaként szolgálhat a valós drágaköveken megfigyelt jelenségek értelmezéséhez.
Ennek megfelelően a módszer nem közvetlenül a fazettált kövek vizsgálatára optimalizált, hanem egy olyan értelmezési keretet biztosít, amely lehetővé teszi annak vizsgálatát, hogy az ismert optikai jelenségek miként jelennek meg komplex optikai geometriákban.
Ez különösen fontos lehet olyan esetekben, ahol a vizuális megfigyelések nem elegendőek a jelenség pontos leírására, és szükség van a spektrális viselkedés mélyebb értelmezésére.
Felhasznált irodalom
- Nassau, K. (2001): The Physics and Chemistry of Color. Wiley.
- Fritsch, E., Rossman, G. R. (1987): An Update on Color in Gems. Part 1: Introduction and Colors Caused by Dispersed Metal Ions. Gems & Gemology, 23(3), 126–139.
- McClure, D. S. (1962): Optical Spectra of Transition-Metal Ions in Corundum. Journal of Chemical Physics, 36, 2757–2779.
- Dubinsky, E. V., et al. (2020): Chromophores in Corundum: A Review. Gems & Gemology, 56(2), 164–179.
- Hughes, R. W. (2014): Ruby & Sapphire: A Gemologist’s Guide. RWH Publishing.






